1215 日 , 2025 15:09:01
2025年电子科技大学研究生《高级算法设计与分析》期末考试回忆录

第一部分:10个判断题(2X10=20分)

第二部分:6个简答题(5X6=20分)

  • 简述证明问题是NPC问题的流程

  • 算法时间复杂度排序

  • 棋盘覆盖

  • 4个规约问题排序(3-SAT、独立集、点覆盖、集合覆盖)

  • 主定理时间复杂度计算

  • 4个问题进行P/NP/NPC问题分类

第3部分:5个大题(5X10=50分)

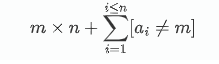
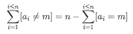
  • 最大流计算题

  • 最大任务规划(算法设计、证明正确性、算时间复杂度)(题目反过来描述的,问最少删除多少个任务使得剩余任务没有重叠)

  • 证明含有偶数个点的图有哈密尔顿圈是NPC问题

  • 求一条路径的最大权独立集(算法设计,算时间复杂度)(实际是一个动态规划题,有点恶心)

  • 设计最小点覆盖算法,并求算法的近似度

1206 日 , 2025 15:06:44
2025年电子科技大学研究生《机器学习-计院》期末考试回忆录

开卷考试,总共9道题,全是问答题。

1. 机器学习的三要素,过拟合/欠拟合的概念以及和三要素之间的关系。(10分)
2. 最小二乘法线性回归计算题,并写出岭回归的目标函数。(12分)
3. 支持向量机的计算题,判断点的类别、法向量以及作图、求分类面方程和间距。(12分)
4. AdaBoost算法描述,突出更新细节和强分类器是如何生成的。(10分)
5. 高斯混合模型的概念,以及参数的EM求解步骤。并与K均值算法做对比。(10分)
6. 前馈神经网络计算题,并介绍ReLU激活函数。(12分)
7. Transformer的解/编码器的模型介绍,用了哪些网络。Transformer和RNN对比优缺点。(12分)
8. 生成式对抗模型的两部分的作用,以及训练的过程描述。(12分)
9. Q-Learning算法流程描述,并分析其优缺点。(10分)

1128 日 , 2025 21:35:29
2025年电子科技大学研究生《分布式系统》期末考试回忆录

选择判断题($2\times20 = 40$):

NTP的细节、消息传递、基本和可靠组播、文件句柄、AFS和NFS、异步和同步系统;其他都是简单的概念选择判断题。

大题($6\times 10 = 60$):

1. 分布式系统的原因以及挑战
2. 证明异步分布式系统不能达成共识
3. 两阶段提交协议的缺陷
4. GFS的设计动机和Master节点不是性能瓶颈的原因
5. 组播-逻辑时钟的分布式互斥算法描述
6. Chord一致性哈希场景分析以及Finger Table(即给你一个K值,应该存储在那个节点,中间要跳几个节点,并画出Finger Table)

619 日 , 2025 16:16:57
学术海报制作

参考资料:

1 字体

1.1 字体大小

PPT 制作学术海报全流程中建议的字体大小如下:

  • 作者:56pt

  • 节标题:36pt

  • 正文:24pt

  • 图表标题:18pt

  • 标题:72-120pt

  • 副标题:48-80pt

  • 节标题:36-72pt

  • 正文:24-48pt

1.2 字体选择

标题使用 Non-Serif Fonts,推荐的几个字体:

  • Arial (Arial Black)

  • Helvetica

  • Verdana

  • Trebuchet MS

  • Gill Sans MT

主要内容使用 Serif Fonts,推荐的几个字体:

  • Rockwell

  • Garamond

  • Palatino

  • Book Antiqua

  • Bookman Old Style

412 日 , 2025 18:58:52
解决跨架构下LSP无法在Linux上跳转的问题

在.clangd上添加一下代码即可,关键点在于 -mabi=lp64:

CompileFlags:
  Remove: [-femit-struct-debug-baseonly, -fconserve-stack, -fno-omit-frame-pointer, -fno-var-tracking-assignments, -fno-var-tracking-assignments, -fmin-function-alignment=4, -fno-allow-store-data-races, -mabi=lp64, -fzero-init-padding-bits=all]
302 日 , 2025 18:13:11
新机小技巧

Windows 跳过联网设置,使用

shift-F10

打开命令行,然后输入

OOBE\BYPASSNRO

跳过联网
查看电池报告:

powercfg /batteryreport
611 日 , 2024 21:19:56
Codeforces Round 951 (Div. 2)

1 Guess the Maximum

题目描述:

给定一个数组 $A$ ,找到一个数 $x$ ,使得数组 $A$ 中所有长度大于 $2$ 的子数组 $A’$ 的最大值严格大于 $x$,求 $x$ 可取的最大值。

数据约束:

$2 \le n \le 5 \times 10^5$ ,$1 \le a_i \le 10^9$

解题思路:

找到所有长度等于 $2$ 的子数组的最大值的最小值 $m$ ,则 $x = m – 1$。

复杂度:时间复杂度 $O(n)$ ,空间复杂度 $O(n)$

2 XOR Sequences

题目描述:

给定两个数 $x, y$ ,现有两个无限长度的数组 $A, B$​ 。两个数组的构造方式如下:

image-20240611175101437

求这两个数组的公共最长字串的最大长度。

数据约束:

$1 \le x, y \le 10^9$

解题思路:

异或就是相同为 $0$ ,不同为 $1$ 。那么最长公共字串的长度就是 $x, y$ 相同最低为的长度所能表示的二进制数的最大值。

复杂度:时间复杂度 $O(\log x)$ ,空间复杂度 $O(1)$

3 Earning on Bets

题目描述:

给定一个数组 $K$ ,长度为 $n$ 。要求构造一个数组 $A$ ,长度同样为 $n$ 。我们定义 $S = \sum_{i=1}^{n} a_i$ ,现要求 $\forall i \in[1, n]$ ,都有 $a_i \times k_i > S$ 。请构造这样的一个数组 $A$ 。

数据约束:

$1 \le n \le 50$ ,$2 \le k \le 20$

解题思路:

我们假设一个数 $x$, 每个数 $a_i = \frac{x}{ki}$ ,那么我们只需要满足 $\sum{i = 1}^{n} \frac{x}{k_i} < x$ 即可,如果不能满足该不等式,就不存在这么一个数组 $A$ 。对于这个数 $x$ ,我们可以选择数组 $K$ 的最小公倍数。

复杂度:时间复杂度 $O(n)$,空间复杂度 $O(n)$

4 Fixing a Binary String

题目描述:

给定两个数 $n, k$ ,并提供一个字符串 $S$ ,这个字符串仅有 $0, 1$ 组成,且长度为 $n$ 。现需要对数组进行一下操作:

  • 选定一个数 $p$ ,将 $[1, p]$ 范围的字符串进行翻转(假设字符串的起始下标为 $1$ ),得到新的字符串 $S’$ 。
  • 将 $S’$ 循环左移 $p$ 位,得到新的字符串 $S”$ 。

如果得到的字符串 $S”$ 满足以下条件:

  • $s_1 = s_2 = \cdots = s_k$
  • 对于 $\forall i \in [1, n – k]$ ,都有 $si \neq s{i + k}$

我们称这个字符串是符合要求的。

求满足要求的 $p$ 值。(有可能有多个值,只需要输出一种即可)

数据约束:

$1 \le k \le n$ ,$2 \le n \le 2 \times 10^5$

解题思路:

可以推导发现,最终生成的字符串的形式是以连续 $k$ 个的 $0, 1$ 交替出现的序列,最后一组不一定要满足 $k$ 个。

我们维护两个数组:$dp_l[0/1][i]$ 表示以 $i$ 位置结尾的以 $0, 1$ 结尾左侧满足上述条件的连续 $k$ 个的组数;$dp_r[0/1][i]$ 表示以 $i$ 位置结尾右侧以 $0, 1$ 结尾左侧满足上述条件的连续 $k$​ 个的组数。

遍历每一个位置 $p$ ,在右侧可以找到一个符合规定的最大长度,有可能会剩余一个不满足条件的子串,且这个子串长度必然小于 $k$ ,大于等于 $k$ 就不满足要求。既然长度不够,我们可以从 $p$ 的左侧借用一点子串来填充剩余部分。借用部分必须和剩余部分相同。

借用之后,我们在借用的左侧,寻找到最长符合要求的子串,此时也可能会剩余一个子串,且这个子串长度必然小于 $k$ ,大于等于 $k$ 就不满足要求。左侧剩余部分必须相同,且和符合部分进行有效衔接。

需要提升效率的地方就是查询这些符合规定的最大长度,此时就可以使用前面提到的 $dp$ 数组。又因为需要翻转,所以左侧是维护一个向左查询的数组,右侧是维护一个向右查询的数组,这就是为什么要两个 $dp$ 数组的原因。

Screenshot_2024-06-11-20-20-05-341_com.orion.note

这个题目的细节非常的多,这里我主要是少考虑了这两种情况,右侧符合规定的最大长度为 $0$ ,以及 $k = n$ 的情况。

复杂度:时间复杂度 $O(n)$,空间复杂度 $O(n)$

603 日 , 2024 16:38:43
Codeforces Round 948 (Div.2)

1 Little Nikita

题目描述:

我以另一种方式描述一下题目。你共有 $n$ 次机会,每次机会你可以进行 $+1$ 操作或者是 $-1$ 操作。请问 $n$ 次操作之后能否得到数字 $m$ 。

数据约束:

$1 \le n, m \le 100$

解题思路:

初中学习的二元一次方程组,有正整数解就可以。

复杂度:$O(1)$ 。

2 Binary Colouring

题目描述:

给定一个数 $x$ ,生成一个由 -101 构成数组 $A$ 。数组 $A$ 的要求如下:

  • $x = \sum_{i = 0}^{n – 1} a_i \times 2^i$
  • $\forall i \in [0, n – 2] \rightarrow ai = 0 \or a{i+1} = 0$

数据约束:

$1 \le x \le 2^{30}$

解题思路:

很明显,第一条约束其实就是一个数的二进制表示法(不考虑 -1)。所有,先吧 $x$ 的二进制表示数组给求出来。

那么,第二跳约束就是数组中不能有连续的非零数出现。对于一个数的二进制表示来说,就是不能有连续的 1 出现。那么问题转化为,怎么对连续的 1 进行处理?

我们考虑一下二进制序列 ...01110... ,右侧为低位。如果我们对示例中最右侧的 1 进行 +1 操作,则会得到 ...10000... ,连续的 1 就消除了。又因为我们加了一个 1,所以我们也需要进行减 1 操作,即 ...100(-1)0... 。此时,满足了题目要求。

那么解法就是,从 $x$ 的二进制数最低位开始扫描,若遇到连续的 1 ,就进行上述操作,直到没有连续的 1 为止。

复杂度:时间复杂度 $O(\log x)$ ,空间复杂度:$O(\log x)$ 。

3 Nikita and LCM

题目描述:

一个长度为 $n$ 的数组 $A$ ,我们规定特殊子数组为:该数组是 $A$ 的子数组,且该数组的最小公倍数未在数组 $A$ 中出现。

求数组 $A$ 中符合要求的特殊子数组的最长长度。

数据约束:

$1 \le n \le 2000$ ,$1 \le a_i \le 10^9$

解题思路:

开始没有思路,往动态规划想了。受了一点题解的启发,主要是这个发现:数组 $A$ 的最小公倍数的大于等于数组的最大值。

如果数组 $A$ 的最小公倍数大于了数组的最大值,则答案就是 $n$ 。否则,数组中所有数字都是数组最大值的因数。那么,我们遍历最大值的每一个因数 $d$ ,当 $d$ 不存在与数组 $A$ 中时,寻找数组 $A$ 中所有为 $d$ 的因数的数组成一个数组。如果得到的新数组的最小公倍数刚好等于 $d$ ,这个数组就是合法的。最后答案就是所有合法数组的长度的最大值。

复杂度:时间复杂度 $O(\sqrt{C} + d(C)^2 \times \log C)$ ,空间复杂度 $O(n)$ 。

525 日 , 2024 22:00:28
Codeforces Round 945 (Div. 2)

1 Chess For Three

题目描述:

三个人下棋,两个人一回合。在一个回合中,赢的一方得 2 分,输的一方不得分,平局两方各得 1 分。

现在已知三个人的得分情况,求出在得分情况下,可能的最大平局次数是多少?如果得分情况不合法,输出 -1

数据范围:

$1 \le t \le 500$,$0 \le p_1 \le p_2 \le p_3 \le 30$

解题思路:

先考虑合不合法的情况。通过分析可以得出,不管是不是平局,最后所有人的得分之和都会增加 2。故可以得出规律,如果三位的得分之后不是偶数,就是不合法的情况,输出 -1

那么合法的时候就会有这两种情况:

  1. $p_1 + p_2 \le p_3$
  2. $p_1 + p_2 > p_3$

对于第一种情况,$p1, p_2$ 的得分都可以是平局产生的,产生的方式是和 $p_3$ 对局,所以答案就是 $p_1 + p_2$。对于第二种情况 $p_1,p_2$ 不可能全部得分都来自于和 $p_3$ 的对局。所以,需要 $p_1$ 和 $p_2$ 对局产生一些平局的分数。通过分析可以得到 $p1 + p_2 – p_3$ 必为偶数,而且除以 2 以后必然小于 $p_1$。所以,将多余的分数用于 $p_1$ 和 $p_2$ 打平局是可能的。总结,所有分数都可以用来打平局,故答案是 $\frac{p_1 + p_2 + p_3}{2}$ 。

复杂度:时间复杂度 $O(1)$ ,空间复杂度 $O(1)$​ 。

2 Cat, Fox and the Lonely Array

题目描述:

题目定义了一个概念,叫孤独数组 $A$ 。定义如下:

假设数组的长度为 $n$​,如果

image-20240525215418851

则我们称 $A$ 为 $k$ 维孤独数组。

现给出一个特殊构造的数组,要求找出该数组 $k$ 可以取的最小值。

数据范围:

$1 \le t \le 10^4$,$1 \le n \le 10^5$

解题思路:

看到这个数据范围,就需要考虑 $O(n \log n)$​​ 的算法了。对于位运算的题目,就要考虑位拆解求解。对于这种区间值的问题,可以先维护一个前缀和。由于是或运算,我们只需要维护区间内有无 1 出现就行。看到最小值,就可以考虑是否可以二分求解

可以发现,如果该数组 $A$ 为 $k$ 维孤独数组,那么必然是 $k + 1$​​ 维孤独数组。证明如下:

image-20240525215447023

所以,二分解法是成立的。

复杂度:时间复杂度 $O(n \log n)$,空间复杂度 $O(n)$ 。

505 日 , 2024 19:55:13
Codeforces Round 942 (Div. 2)

1 Contest Proposal

题目描述:

一共有 $n$ 道题目,每道题目的实际难度为 $a_i$,期望难度为 $b_i$。初始状态下,保证 $a_i$ 和 $b_i$ 严格递增,即有序的。

现在对这套题目难度,需要满足 $\forall i \in [1, n] \Rightarrow a_i \leq b_i$​ 。如果不能满足这个要求,你可以删除最后一道题目,然后插入新的题目,重新排序后满足该要求即可。

问最少需要删除多少个题目?

数据约束:

$1 \leq n \leq 100$ ;$1 \leq a_i \leq 10^9$;$1 \leq b_i \leq 10^9$ 。

解题思路:

如果我们要删除题目,并插入新的题目,那么新的题目的难度可以是小于所有期望题目难度的;此时,删除题目相当于将题目往后平移一位。

如果 $a_i \leq b_i$,那么 $\forall j \in [1, i – 1] \Rightarrow a_j \leq b_i$ 。我们可以从后向前遍历,如果 $a_i > b_i$,则弹出 $a_i$,直到满足 $a_i \leq b_i$。那么总共弹出的次数就是最少需要删除题目的个数。

复杂度:时间复杂度 $O(n)$ ,空间复杂度 $O(1)$ 。

2 Coin Game

题目描述:

一共有 $n$ 个硬币排成一圈,它们不是朝上就是朝下。AliceBob 轮流玩游戏,Alice 先手。游戏规则,取走一枚面朝上的硬币,并翻转相邻的硬币(如果只剩两枚则不翻转)。如果当前玩家没有硬币可取,则输,另一位玩家赢。

问给定布局下,Alice 是否能赢。

数据约束:

$1 \leq n \leq 100$ 。

解题思路:

我们以中间的可取为例,共有以下几种情况:

  • UUU:取走后变成 DDU 减少 3 枚。
  • UUD:取走后变成 DUU 减少 1 枚。
  • DUU:取走后变成 UDU 减少 1 枚。
  • DUD:取走后变成 UUU 增加 1 枚。

可以发现,U 的个数都是以奇数个进行增减的。如果先手为奇数,最后一定会赢。

复杂度:时间复杂度 $O(n)$ ,空间复杂度 $O(1)$ 。

3 Permutation Counting

题目描述:

一共有 $n$ 中数字 $[1, n]$ ,每个数字 $i$ 有 $a_i$ 。你可以在此基础上增加 $k$ 个数字,数值由你决定,范围为 $[1, n]$ 。$k$ 次机会必须全部使用。

将新的数组进行重组,使其子数组中,为 $n$ 的全排列的个数最大。问这个最大的个数是多少。

数据约束:

$1 \leq n \leq 2 \times 10^5$ ;$0 \leq k \leq 10^{12}$ 。

$1 \leq a_i \leq 10^{12}$ 。

解题思路:

要想使得重新排列的数组的是 $n$ 的全排列子数组的个数最大,数组的排列应该类似于 1, 2, 3, ... , n - 1. n, 1, 2, 3, ...,即每连续 $n$ 个数 $[1, n]$ 都出现一次。假设这样的数组长度为 $l$,则全排列的子数组个数为 $l – n + 1$ 。

有多少个完整的全排列受限于最少的数的个数(木桶效应)。既然我们要是全排列的个数最大,就要将 $k$ 花费在数量最少的数上面,很容易就能想到时间复杂度为 $O(k)$ 的算法;但是,时间不允许。

要找到 $k$ 次操作后 $a_i$ 的最小值,我们二分查找在 $k$ 允许的情况下,这个最小值的最大值。即 $k$ 次操作之后,数组的最小值为 $m$ 。此时的时间复杂度就降为了 $O(\log k)$ 。 $k$ 的剩余次数,均匀的分到这些最小值上。

最后可以得到的连续全排列数组长度为

image-20240505195257964

又因为

image-20240505195322415

表达式再减去 $n – 1$​,最后化简得到子数组为 $n$​ 的全排列的个数为

image-20240505195343866

复杂度:时间复杂度 $O(n\log k)$,空间复杂度 $O(1)$ 。

428 日 , 2024 15:08:36
力扣第 395 场周赛

1 找出与数组相加的整数 I

题目描述:

数组 nums1 中的每个元素都与变量 x 所表示的整数相加。如果 x 为负数,则表现为元素值的减少。

在与 x 相加后,nums1nums2 相等 。当两个数组中包含相同的整数,并且这些整数出现的频次相同时,两个数组 相等

返回整数 x

数据约束:

数组大小 $n \le 100$;数据大小 $0 \le a_i \le 1000$。

解题思路:

数据范围很小,基本随便暴力。既然数据是定制化的,那么将两个数组排序后,下标相同的位置必然是一一对应的。再取一个特殊情况,两个数组的最小值,也是对应关系。那么答案就是这两个最小值的差值。

复杂度:时间复杂度 $O(n)$,空间复杂度 $O(1)$​。

2 找出与数组相加的整数 II

题目描述:

给你两个整数数组 nums1nums2

nums1 中移除两个元素,并且所有其他元素都与变量 x 所表示的整数相加。如果 x 为负数,则表现为元素值的减少。

执行上述操作后,nums1nums2 相等 。当两个数组中包含相同的整数,并且这些整数出现的频次相同时,两个数组 相等

返回能够实现数组相等的 最小 整数 x

数据约束:

数组大小 $3 \le n \le 200$;数据大小 $0 \le a_i \le 1000$。

解题思路:

题目数组 1 要进行删减操作,而数组 2 并不需要。我们可以把题目反过来,在数组 2 上最大可以加多少,使其可以在数组 1 中找到与之对应的数(不重复)。答案范围肯定在 $-1000 \le ans \le 1000$,不妨对该区间的答案一一尝试,直到找到答案为止。

复杂度:时间复杂度 $O(\alpha n)$;空间复杂度 $O(\log n)$,维护每个数据出现的次数便于做比较。

3 数组最后一个元素的最小值

题目描述:

给你两个整数 nx 。你需要构造一个长度为 n正整数 数组 nums ,对于所有 0 <= i < n - 1 ,满足 nums[i + 1] 大于 nums[i] ,并且数组 nums 中所有元素的按位 AND 运算结果为 x

返回 nums[n - 1] 可能的 最小 值。

数据约束:

$0 \le n, x \le 10^8$。

解题思路:

既然所有数据的按位与运算的结果要等于 $x$,那么所有数据在 $x$ 的比特位为 1 的位置上都必须为 1。那可以修改的空间就剩其余不是 1 的位置,抛去所有为 1 的位置,剩下位置进行填数,是数组严格递增。很明显,就是填 0,1,2,3,4……,直到填到 n – 1 为止。

那么做法就是,将 $n – 1$ 的二进制数嵌入到 $x$ 的二进制数不为 1 的地方。

复杂度:时间复杂度和空间复杂度都很小。

414 日 , 2024 14:26:52
力扣第 393 场周赛

力扣第 393 场周赛

这场周赛是由【衍复投资】主办的,很偏数论,所以只做了两道题。

1 替换字符可以得到的最晚时间

题目描述:

给你一个字符串 s,表示一个 12 小时制的时间格式,其中一些数字(可能没有)被 "?" 替换。

12 小时制时间格式为 "HH:MM" ,其中 HH 的取值范围为 0011MM 的取值范围为 0059。最早的时间为 00:00,最晚的时间为 11:59

你需要将 s 中的 所有 "?" 字符替换为数字,使得结果字符串代表的时间是一个 有效 的 12 小时制时间,并且是可能的 最晚 时间。

返回结果字符串。

数据约束:

解题思路:

贪心。但是有点坑。对于分钟,确实可以贪心,两位数尽可能去最大;对于小时,不能这么干了(因为这个 WA 了两发),小时的取值范围是 0~11,不能认为 11 就是最大的,有可能是 0? 的形式,在个形式下,09 才是最大的。还有一种情况是 ?3,不可以取 13,超过了可以表示的时间的范围。

所以,对于小时,我们分成以下几种情况:

  • ??:可以直接取 11
  • ?1:第 2 位为 1 或者是 0。这种情况下,第 1 位可以取 1 而使其最大。
  • ?2:第 2 位是 2 以上的的数,这种情况下,第 1 位只能取 0。
  • 0?:第 2 位取 9。
  • 1?:第 2 位取 1。
  • ?:取原数。

复杂度:时间复杂度 $O(1)$。

2 素数的最大距离

题目描述:

给你一个整数数组 nums

返回两个(不一定不同的)素数在 nums下标最大距离

数据约束:

数组大小 $n \leq 3 \times 10^5$;每个数值的大小 $nums_i \leq 100$。

解题思路:

  • 第一步,找出 100 以内的所有素数。数据大小都在 100 以内,那么这个范围的素数暴力做法都可以做出来。
  • 第二步,从左向右和从右向左找到最左边和最右边的素数。

最后结果为最右边的下标,和最左边的下标的差值。

筛素数的方法

  • 埃氏筛

考虑这样一件事情:对于任意一个大于 1 的正整数 n,那么它的 x 倍就是合数(x > 1)。利用这个结论,我们可以避免很多次不必要的检测。

如果我们从小到大考虑每个数,然后同时把当前这个数的所有(比自己大的)倍数记为合数,那么运行结束的时候没有被标记的数就是素数了。

时间复杂度:$O(n \log \log n)$。

  • 线性筛
vector pri;
bool not_prime[N];

void pre(int n) {
  for (int i = 2; i <= n; ++i) {
    if (!not_prime[i]) {
      pri.push_back(i);
    }
    for (int pri_j : pri) {
      if (i * pri_j > n) break;
      not_prime[i * pri_j] = true;
      if (i % pri_j == 0) {
        // i % pri_j == 0
        // 换言之,i 之前被 pri_j 筛过了
        // 由于 pri 里面质数是从小到大的,所以 i 乘上其他的质数的结果一定会被
        // pri_j 的倍数筛掉,就不需要在这里先筛一次,所以这里直接 break
        // 掉就好了
        break;
      }
    }
  }
}

时间复杂度:$O(n)$

复杂度:时间复杂度 $O(n)$,空间复杂度 $O(1)$。

3 单面值组合的第 K 小金额

题目描述:

给你一个整数数组 coins 表示不同面额的硬币,另给你一个整数 k

你有无限量的每种面额的硬币。但是,你 不能 组合使用不同面额的硬币。

返回使用这些硬币能制造的 kth 金额。

数据约束:

硬币种数 $type \leq 15$;硬币面值 $coins_i \leq 25$;$k$ 在 32 位整型范围内。

解题思路:

转换一下题目的描述,就是将一组数的所有的倍数去重后排序,第 $k$ 小的数是什么?

虽然当时并没有想到怎么解决,但是想到了容斥。这些数的倍数中一定是有重复的,比如 [2, 3],倍数中 6 就重复了。如何去除掉这个重复的数呢?容斥原理就可以解决这个问题。

容斥原理

设 U 中元素有 n 种不同的属性,而第 i 种属性称为 P_i,拥有属性 P_i 的元素构成集合 S_i,那么
$$
\begin{aligned} \left|\bigcup_{i=1}^{n}Si\right|=&\sum{i}|Si|-\sum{i<j}|S_i\cap Sj|+\sum{i<j<k}|S_i\cap S_j\cap Sk|-\cdots\ &+(-1)^{m-1}\sum{ai<a{i+1} }\left|\bigcap{i=1}^{m}S{a_i}\right|+\cdots+(-1)^{n-1}|S_1\cap\cdots\cap Sn| \end{aligned}
$$

$$
\left|\bigcup
{i=1}^{n}Si\right|=\sum{m=1}^n(-1)^{m-1}\sum_{ai<a{i+1} }\left|\bigcap{i=1}^mS{a_i}\right|
$$

用这些硬币,我们可以为每一个数列出它的所有倍数:
$$
a_i, 2a_i, 3a_i,\cdots
$$
那么重复的数字就是两两组合,三组合、四组合等的最小公倍数的倍数集。例如两两组合:
$$
lcm(a_i, a_j), 2lcm(a_i, a_j), 3lcm(a_i, a_j), \cdots
$$
这些数绝对在前面每个数的倍数列中重复了,需要容斥原理解决。然后就做不下去了,不知道如何求出这么多组合的最小公倍数。

忽视了数据范围,硬币种数 $type \leq 15$,故所有组合的种数就只有 $2^{15}$ 种(状态压缩),其实暴力枚举组合,求最小公倍数就好。

找到了所有的公倍数,我们就能知道一个数 $m$ 以内,有多少个公倍数出现。出现的次数 $cnt = \frac{m}{lcm}$,再通过容斥,去除掉重复的部分。这个时候,问题又转变了,找到一个最小的数,使得 $cnt_m \leq k$,这个最小的数,就是题目要要的数。此时可以二分求解了。

C++17 中,可以直接使用 lcmgcd 求解最小公倍数以及最大公因数。C++11 可以直接 __gcd 求最大公因数,最小公因数可以 $lcm(a, b) = \frac{a \times b}{gcd(a, b)}$ 求解。

复杂度:时间复杂度 $O(\alpha 2^{t})$,空间复杂度 $O(1)$。

407 日 , 2024 13:33:16
力扣第 392 场周赛

1 最长严格递增递减子数组

题目描述:返回数组 nums严格递增严格递减 的最长非空子数组的长度。

数据约束:数组长度 $n \leq 50$。

解题思路:

遍历检查。维护两个数组,$incr[i]$ 表示以下标 $i$ 为结尾的最长严格递增的子数组;$desc[i]$ 表示以下标 $i$ 为结尾的最长严格递减子数组。转移公式如下:
$$
incr[i] = nums[i – 1] < nums[i] ? incr[i – 1] + 1 : 1
$$

$$
desc[i] = nums[i – 1] > nums[i] ? desc[i – 1] + 1 : 1
$$

最后答案为两个数组的最大值。

复杂度:时间复杂度 $O(n)$,空间复杂度 $O(n)$。

2 满足距离约束且字典序最小的字符串

题目描述:

给你一个字符串 s 和一个整数 k

定义函数 distance(s1, s2) ,用于衡量两个长度为 n 的字符串 s1s2 之间的距离,即:

  • 字符 'a''z'循环 顺序排列,对于区间 [0, n - 1] 中的 i ,计算所有「 s1[i]s2[i] 之间 最小距离」的

例如,distance("ab", "cd") == 4 ,且 distance("a", "z") == 1

你可以对字符串 s 执行 任意次 操作。在每次操作中,可以将 s 中的一个字母 改变任意 其他小写英文字母。

返回一个字符串,表示在执行一些操作后你可以得到的 字典序最小 的字符串 t ,且满足 distance(s, t) <= k

数据约束:字符串长度 $n \leq 100$,$k \leq 200$​。

解题思路:

贪心策略,毕竟要字典序最小。从第一个字符开始,从字符 a 开始尝试直到剩余操作次数满足将该字符进行修改,满足就进入到原字符串的下一位,直到修改次数用完为止。

复杂度:时间复杂度度 $O(n)$,空间复杂度 $O(n)$。

3 使数组中位数等于 k 的最少操作数

题目描述:

给你一个整数数组 nums 和一个 非负 整数 k

一次操作中,你可以选择任一下标 i ,然后将 nums[i]1 或者减 1

请你返回将 nums 中位数 变为 k 所需要的 最少 操作次数。

一个数组的 中位数 指的是数组按 非递减 顺序排序后最中间的元素。如果数组长度为偶数,我们选择中间两个数的较大值为中位数。

数据约束:

数组长度 $n \leq 2e^5$,数据大小在 32 位整型范围内,$k$ 在 32 位整型范围内。

解题思路:

既然要操作次数最小,那么就只需要修改原数组中位数附近的数即可,因为这些数也离中位数的差值最小了。要找原数组的中位数,就需要对原数组进行排序

要使 $k$ 成为中位数,就需要在排序后的原数组中找到比 $k$ 大的数的下标位置,可能有以下两种情况:

image-20240407132134998

我们对其进行逐一讨论:

  1. $k$ 在原中位数右侧,我们需要将 $middle -> k$ 这个区间的数都改成 $k$。操作之后,$k$ 右侧数都比 $k$ 大,不影响中位数,$middle$ 左侧的数都小于等于 $middle$,也不会影响中位数,这样中位数就是 $k$。
  2. $k$ 在原中位数左侧,我们需要将 $k -> middle$ 这个区间的数都改成 $k$,这样中位数就是 $k$。

找到 $k$​ 的位置可以遍历也可以二分。

复杂度:时间复杂度 $O(n \log n)$,空间复杂度 $O(n)$。

309 日 , 2024 15:24:59
回归

I come back!

上个服务器过期,没米续费,也没保存所有文章。现在有了超低配的free服务器,遂重搭,仅有部分之前的文章。